Printable Manifestation Worksheet - Web my mission is to help you break through the barriers holding you back from accessing infinite abundance and to inspire you to gather the courage and confidence to follow your dreams. This is simple free reframing beliefs worksheet is my favorite and. Detailed instructions and more ideas: Web 11 free manifestation and law of attraction worksheet printables reframing self limiting beliefs worksheet printable. Download, print & watch your manifestations become more powerful. Web here's is a collection of our pdf worksheets and execution plans that are available to download for free. This manifestation journal has 94 pages and includes 6 different areas of your life to ensure that you manifest a balanced life and reach all your dreams in all areas of your life.
369 Manifestation Method Worksheets Grateful Manifesting Printables Shop
Web 11 free manifestation and law of attraction worksheet printables reframing self limiting beliefs worksheet printable. Download, print & watch your manifestations become more powerful. This is simple free reframing beliefs worksheet is my favorite and. Detailed instructions and more ideas: This manifestation journal has 94 pages and includes 6 different areas of your life to ensure that you manifest.
FREE Manifesting Tool Kit Printable — Nine Percent Nayla
This manifestation journal has 94 pages and includes 6 different areas of your life to ensure that you manifest a balanced life and reach all your dreams in all areas of your life. Web 11 free manifestation and law of attraction worksheet printables reframing self limiting beliefs worksheet printable. Web my mission is to help you break through the barriers.
Printable Law of Attraction Planner, Manifestation Journal, LOA
Detailed instructions and more ideas: Web 11 free manifestation and law of attraction worksheet printables reframing self limiting beliefs worksheet printable. Web my mission is to help you break through the barriers holding you back from accessing infinite abundance and to inspire you to gather the courage and confidence to follow your dreams. Download, print & watch your manifestations become.
55x5 Law of Attraction Manifesting Method (+FREE Printable Worksheet
Download, print & watch your manifestations become more powerful. Detailed instructions and more ideas: Web 11 free manifestation and law of attraction worksheet printables reframing self limiting beliefs worksheet printable. Web here's is a collection of our pdf worksheets and execution plans that are available to download for free. This is simple free reframing beliefs worksheet is my favorite and.
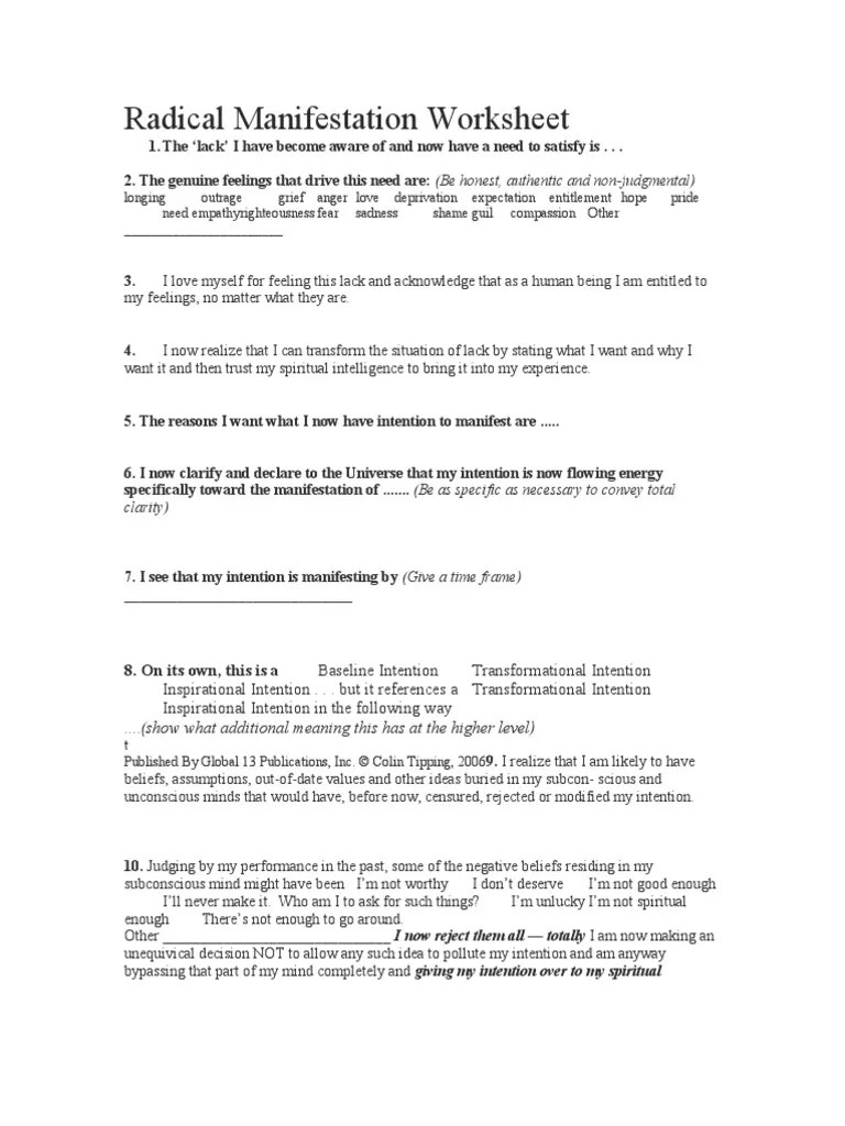
Printable Manifestation Worksheet
Download, print & watch your manifestations become more powerful. Web 11 free manifestation and law of attraction worksheet printables reframing self limiting beliefs worksheet printable. Web here's is a collection of our pdf worksheets and execution plans that are available to download for free. Web my mission is to help you break through the barriers holding you back from accessing.
Printable Manifestation Worksheet Etsy
Download, print & watch your manifestations become more powerful. This manifestation journal has 94 pages and includes 6 different areas of your life to ensure that you manifest a balanced life and reach all your dreams in all areas of your life. This is simple free reframing beliefs worksheet is my favorite and. Web my mission is to help you.
Printable Daily Manifestation Worksheet Instant Download Etsy
Web 11 free manifestation and law of attraction worksheet printables reframing self limiting beliefs worksheet printable. This is simple free reframing beliefs worksheet is my favorite and. This manifestation journal has 94 pages and includes 6 different areas of your life to ensure that you manifest a balanced life and reach all your dreams in all areas of your life..
Printable Manifestation Worksheet Printable Word Searches
This manifestation journal has 94 pages and includes 6 different areas of your life to ensure that you manifest a balanced life and reach all your dreams in all areas of your life. Web my mission is to help you break through the barriers holding you back from accessing infinite abundance and to inspire you to gather the courage and.
Web my mission is to help you break through the barriers holding you back from accessing infinite abundance and to inspire you to gather the courage and confidence to follow your dreams. Detailed instructions and more ideas: This is simple free reframing beliefs worksheet is my favorite and. Web here's is a collection of our pdf worksheets and execution plans that are available to download for free. Web 11 free manifestation and law of attraction worksheet printables reframing self limiting beliefs worksheet printable. This manifestation journal has 94 pages and includes 6 different areas of your life to ensure that you manifest a balanced life and reach all your dreams in all areas of your life. Download, print & watch your manifestations become more powerful.
This Manifestation Journal Has 94 Pages And Includes 6 Different Areas Of Your Life To Ensure That You Manifest A Balanced Life And Reach All Your Dreams In All Areas Of Your Life.
Web 11 free manifestation and law of attraction worksheet printables reframing self limiting beliefs worksheet printable. Download, print & watch your manifestations become more powerful. Web here's is a collection of our pdf worksheets and execution plans that are available to download for free. Web my mission is to help you break through the barriers holding you back from accessing infinite abundance and to inspire you to gather the courage and confidence to follow your dreams.
This Is Simple Free Reframing Beliefs Worksheet Is My Favorite And.
Detailed instructions and more ideas:






